• Предмет: Математика
  • Автор: 777alisham
  • Вопрос задан 8 лет назад

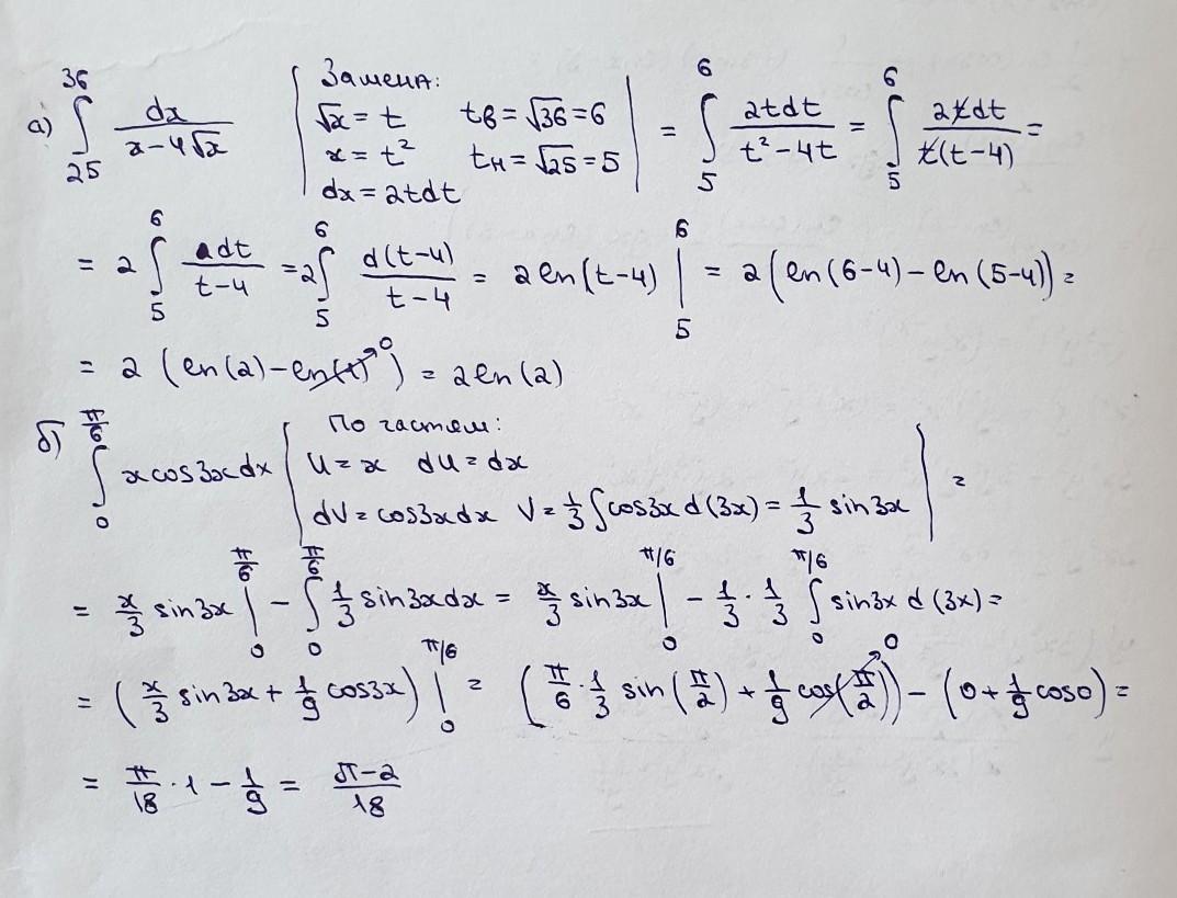
Обчислити визначені інтеграли
Вычислить определённые интегралы

Приложения:

Ответы

Ответ дал: Miroslava227
0

Ответ:

решение на фотографии

Приложения:
Вас заинтересует