Ответы
Ответ дал:
0
Если не ошиблась в подсчетах все именно так.
Но ты не указала функции или производной.
Я решила как Наименьшее и наибольшее функции.
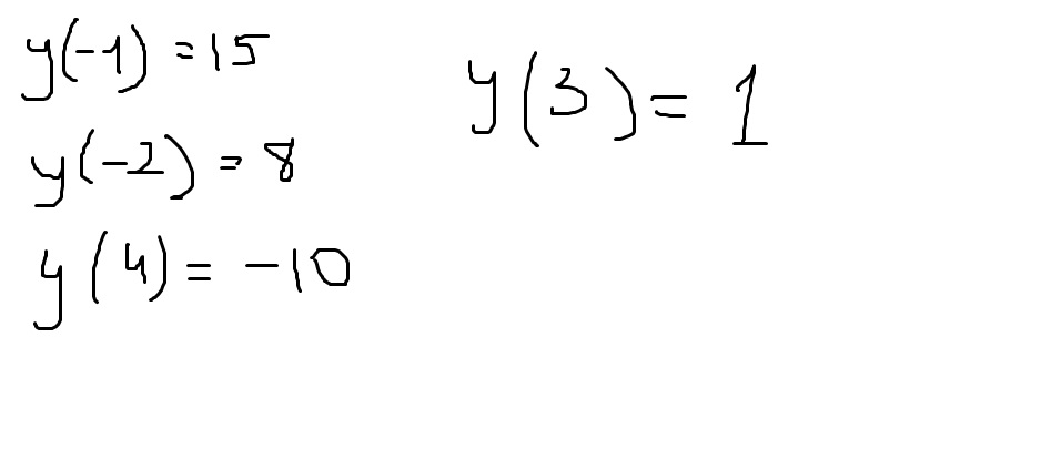
Итак, наименьшее у=-10
а наибольшее у=15
Но ты не указала функции или производной.
Я решила как Наименьшее и наибольшее функции.
Итак, наименьшее у=-10
а наибольшее у=15
Приложения:


Ответ дал:
0
напиши пожалуйста подробно как ты считала в последнем
Ответ дал:
0
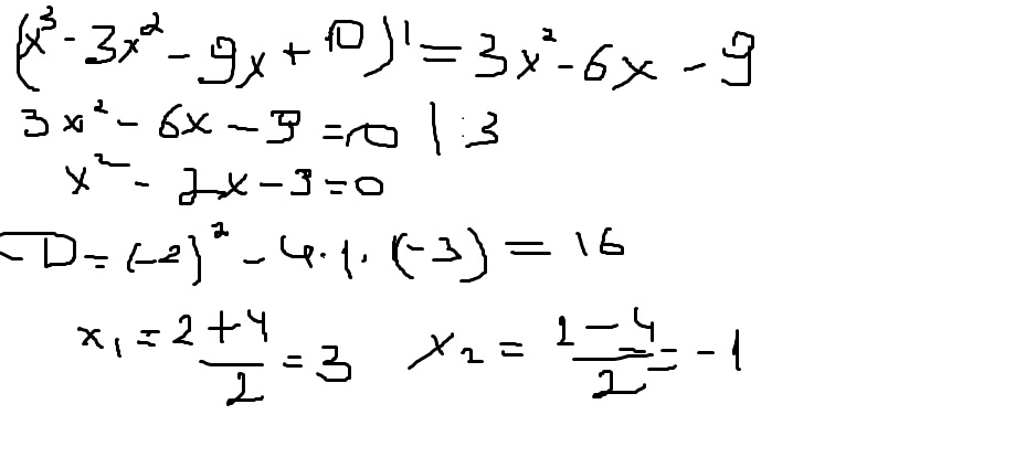
-1,3 это корни которые получились, они входят в промежуток.
-2,4 это сам промежуток, эти числа бы подставляем в ФУНКЦИЮ
-2,4 это сам промежуток, эти числа бы подставляем в ФУНКЦИЮ
Вас заинтересует
2 года назад
8 лет назад
8 лет назад
10 лет назад
10 лет назад