• Предмет: Алгебра
  • Автор: kpolyakova
  • Вопрос задан 8 лет назад

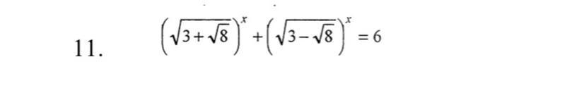
Помогите решить пожалуйста

Приложения:

Ответы

Ответ дал: nafanya2014
0

sqrt{3+sqrt{8} }cdot sqrt{3-sqrt{8} }=sqrt{3^2-(sqrt{8})^2 } =1Rightarrow sqrt{3+sqrt{8} }=frac{1}{sqrt{3-sqrt{8} } }

Замена переменной:

(sqrt{3+sqrt{8} })^{x}=t} ;\\(sqrt{3-sqrt{8} })^{x}=frac{1}{t}

t+frac{1}{t}=6

t^2-6t+1=0

D=36-4=32

√D=4√2

t=3-2√2=3-√8; t=3+2√2=3+√8

(sqrt{3+sqrt{8} })^{x}= 3-sqrt{8} ;\\(sqrt{3+sqrt{8} })^{x}= (3+sqrt{8})^{-1}\\frac{x}{2} =-1\\x=-2

(sqrt{3+sqrt{8} })^{x}= 3+sqrt{8} ;\\(sqrt{3+sqrt{8} })^{x}= (3+sqrt{8})^{1}\\frac{x}{2} =1\\x=2

О т в е т. -2; 2

Вас заинтересует