Ответы
Ответ дал:
0
Ответ:
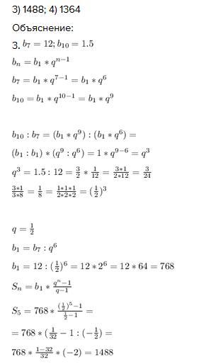
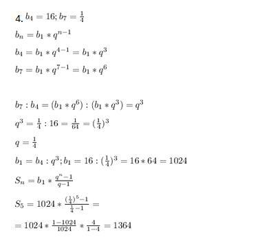
3) 1488; 4) 1364
Объяснение:
3.
4.
Приложения:


Ответ дал:
0
спасибо тебе огромное! ты святой человек
Вас заинтересует
2 года назад
3 года назад
3 года назад
9 лет назад