• Предмет: Алгебра
  • Автор: ArapovDenis
  • Вопрос задан 8 лет назад

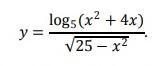
Найти область определения функции:

Приложения:

Ответы

Ответ дал: Evgenia4836
0

Ответ:

Объяснение:

x²+4x>0

25-x²>0

x∈(-5;-4)∪(0;5)

Ответ дал: сашасерый5
0

Объяснение:

x^2+4x>0

x(x+4)>0

x>0 и x<-4

25-x^2>0

x^2<25

-5<x<5

///////////////////

-5 -4 0 5 --->

\\\\\ \\\\\\\\

D(y)=(-5;-4)∪(0;5)

Вас заинтересует