• Предмет: Химия
  • Автор: sonechko2525
  • Вопрос задан 8 лет назад

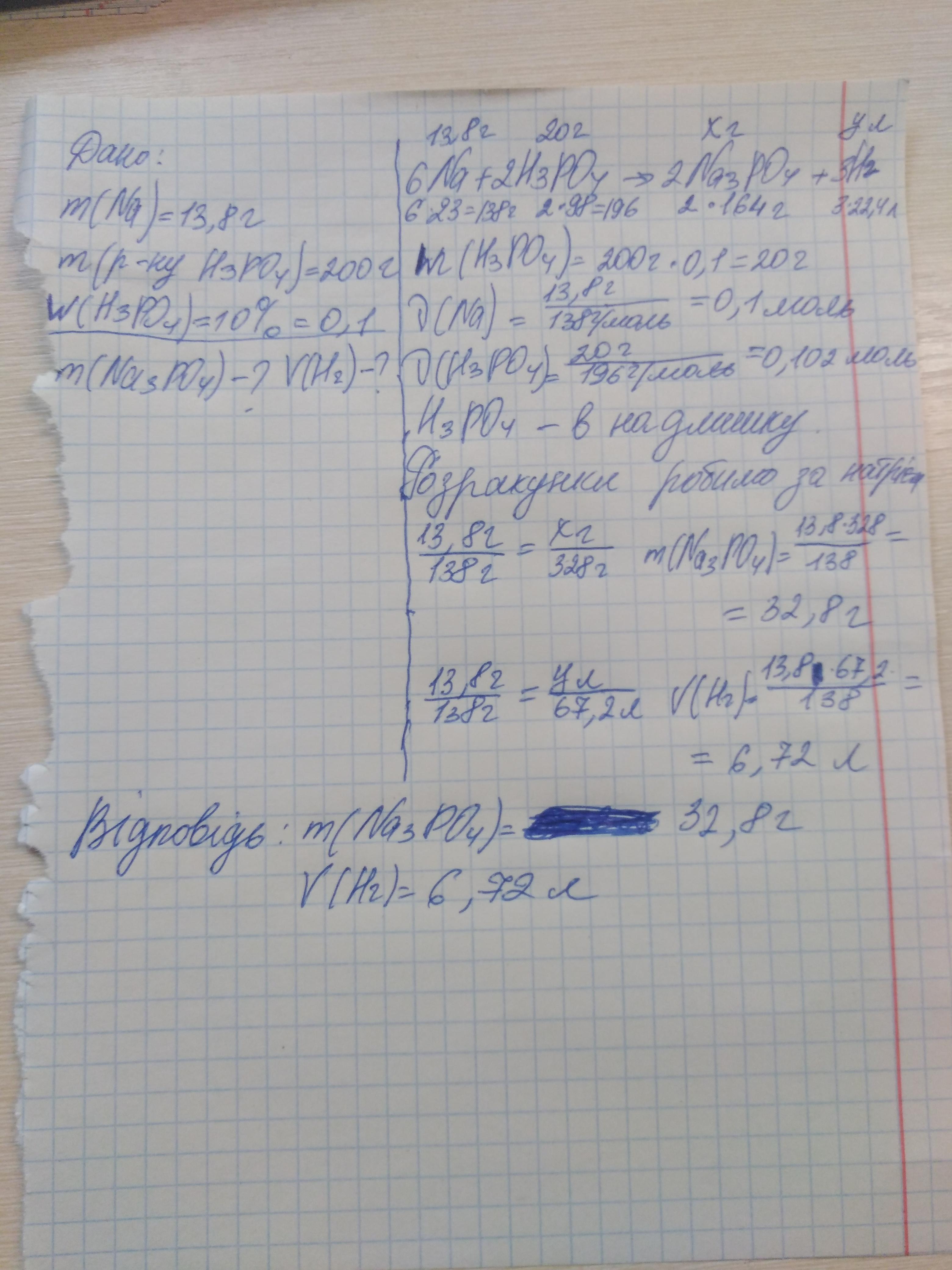
Химия!знайдіть масу солі та об'єм газу, що утвориться під час взаємодії 13,8 г натрію та 200 г розчину ортофосфатної кислоти з масовою часткою розчиненої речовини 10 %.


найдите массу соли и объем газа, который образуется при взаимодействии 13,8 г натрия и 200 г раствора ортофосфорная кислота с массовой долей растворенного вещества 10%.​

Ответы

Ответ дал: kononovfelix
0

Це задача на надлишок. Відповідь на фото:

Приложения:
Ответ дал: sonechko2525
0
реши и эту пожалуйста
Ответ дал: sonechko2525
0
реши и эту пожааааалуйста
Вас заинтересует