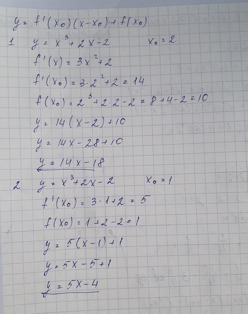
1. написать уравнения касательной к кривой у=х^(3)+2х-2 в точке с абсциссой х0=2.
2.составить уравнения касательной к кривой у=х^(3)+2х-2 в точке с абсциссой х0=1.
Ответы
Ответ дал:
0
Ответ:
........................
Приложения:

Вас заинтересует
2 года назад
2 года назад
3 года назад
8 лет назад
8 лет назад
9 лет назад
9 лет назад