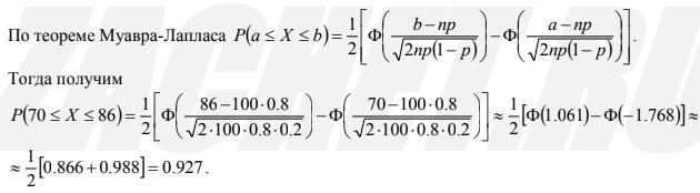
Имеется 100 станков одинаковой мощности, работающих независимо друг от друга в одинаковом режиме при включенном приводе в течение 0,8 всего рабочего времени. Какова вероятность того, что в произвольно взятый момент времени окажутся включенными от 70 до 86 станков?
Ответы
Ответ дал:
0
ответ на изображении ниже
Приложения:

Вас заинтересует
2 года назад
2 года назад
3 года назад
8 лет назад
8 лет назад
9 лет назад