• Предмет: Алгебра
  • Автор: miasempai17
  • Вопрос задан 8 лет назад

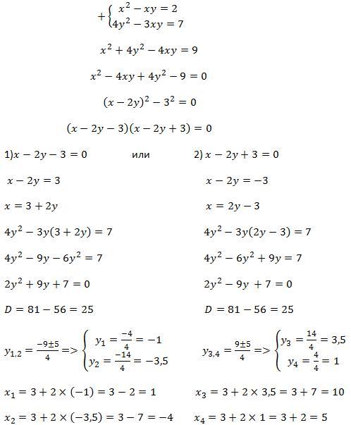
Срочно, пожалуйста,помогите решить системное уравнение 50б​

Приложения:

Ответы

Ответ дал: KhamidoffAli
0

Ответ:

ответ на фото, дальше хз что сделать, наверное по отдельности найти х и у

Приложения:
Ответ дал: dima2003ii
0

Ответ:

x=-4; 1; 5; 10

y=-3,5; -1; 1; 3,5

Объяснение:

Решение во вложении

Приложения:
Вас заинтересует