• Предмет: Математика
  • Автор: VannedaThe100
  • Вопрос задан 8 лет назад

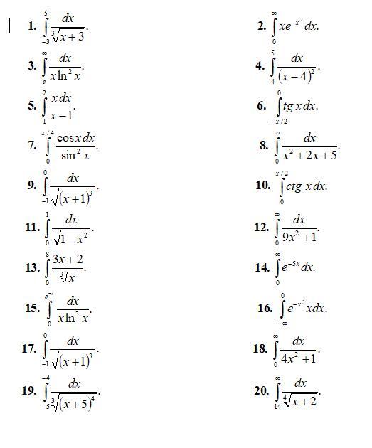
решите интеграл пж помогите хотя бы не все даю 100 баллов

Приложения:

Ответы

Ответ дал: Аноним
0

Пошаговое объяснение:

может проще объяснить как их решать? не так уж сложно это объяснить

Вас заинтересует