• Предмет: Математика
  • Автор: Fedorleto
  • Вопрос задан 8 лет назад

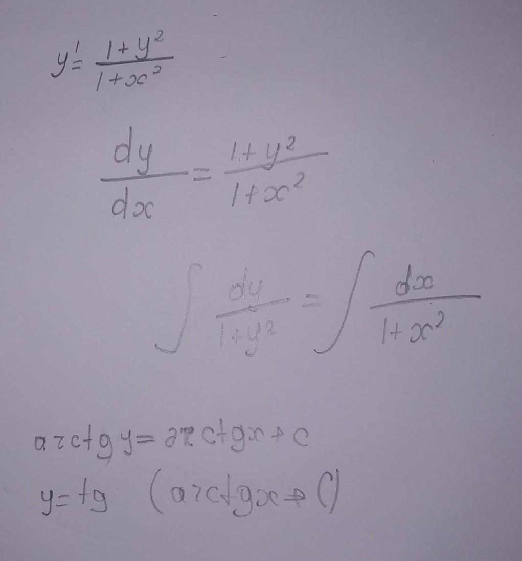
Найти общее решение (общий интеграл) дифференциального уравнения.
y'=(1+y^2)/(1+x^2)

Ответы

Ответ дал: NNNLLL54
0

y'=dfrac{1+y^2}{1+x^2}\\\dfrac{dy}{dx}=dfrac{1+y^2}{1+x^2}\\\int dfrac{dy}{1+y^2}=int dfrac{dx}{1+x^2}\\\arctgy=arctgx+C\\y=tg(arctgx+C)

Ответ дал: elmirayt923
0

Ответ:

надеюсь поймёшь почерк ❤️☺️

Приложения:
Вас заинтересует