• Предмет: Алгебра
  • Автор: yulyavolodina03
  • Вопрос задан 8 лет назад

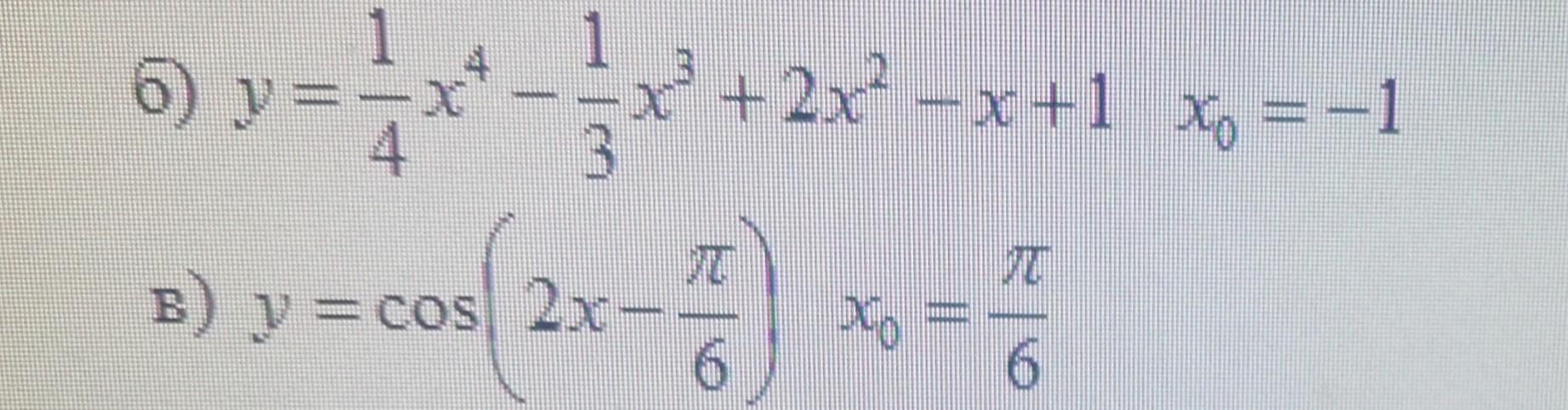
Найдите значение функции в заданной точке:

Приложения:

Ответы

Ответ дал: mmb1
0

надо просто подставить значение, вместо переменной

y = 1/4x^4 - 1/3x^3 + 2x^2 - x + 1

x0= -1

y(x0) = 1/4*(-1)^4 - 1/3*(-1)^3 + 2*(-1)^2 - 1*(-1) + 1 = 1/4 + 1/3 + 2 + 1 + 1 = 4 7/12

---

y = cos(2x - π/6)

x0= π/6

y(x0) = cos(2*π/6 - π/6) = cos (π/6) = √3 / 2

Ответ дал: yulyavolodina03
0
Найдите значение ПРОИЗВОДНОЙ функции в заданной точке, примеры те же самые, другие ответы будут?
Ответ дал: Аноним
0
что же с ВА
ми со всеми
сталося
ВЕДЬ ВАМ (господин михаил)
все по пе
нису и
до фалоса
Вас заинтересует