Ответы
Ответ дал:
0
Ответ:
Объяснение:
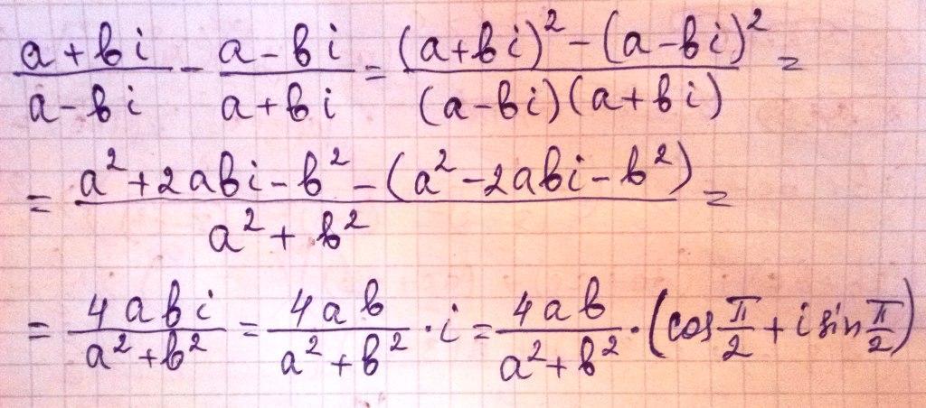
решение на фото.............
Приложения:

Вас заинтересует
2 года назад
3 года назад
8 лет назад
8 лет назад
9 лет назад