• Предмет: Математика
  • Автор: volodinaleksandr07
  • Вопрос задан 8 лет назад

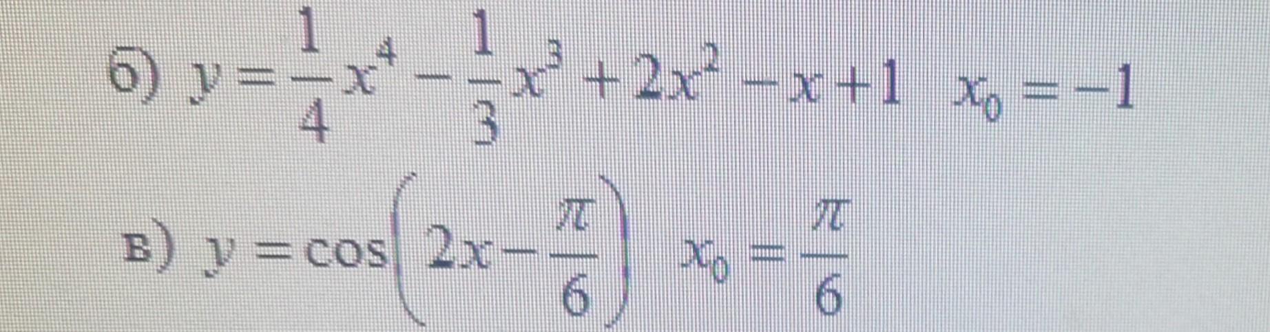
Найдите значение производной функции в заданной точке:

Приложения:

Ответы

Ответ дал: 1709200213179
0

Відповідь:

Покрокове пояснення:

Знайдемо похідну

б) y=х^3-x^2+4x-1

підставимо значення х=-1

у=-1-1-4-1

у=-7

в) у=-1/2sin|2x-π/6|

у=-1/2sin|2*π/6-π/6|= -1/2 sin π/6

Вас заинтересует