• Предмет: Математика
  • Автор: 1709200213179
  • Вопрос задан 8 лет назад

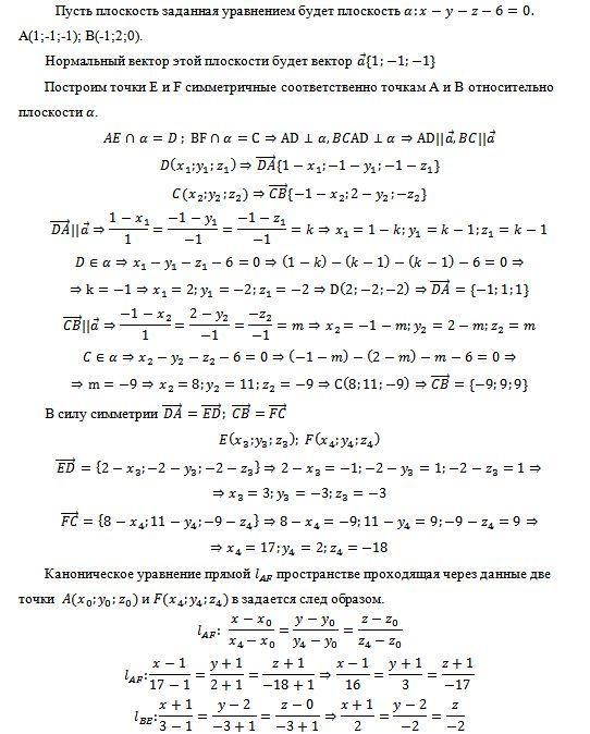
Задані площина х-y-z-6=0 та дві точки А(1;-1;-1) та В(-1;2;0). Промінь світла проходить через точку А і відбившись від площини проходить через точку В. Скласти рівняння прямих, які містять падаючий та відбитий промінь.

Ответы

Ответ дал: guvanch021272
0

Ответ:

Пошаговое объяснение:

В силу симметрии и вертикальных углов ∠AOD=∠EOD=∠BOC=∠COF

Приложения:
Ответ дал: 1709200213179
0
(x+1)/4=(y-2
Ответ дал: 1709200213179
0
(x+1)/4=(y-2)/-5=z/-3
Вас заинтересует