Ответы
Ответ дал:
0
Ответ:
Объяснение:
помогите пожалуйста!!!
Приложения:

Ответ дал:
0
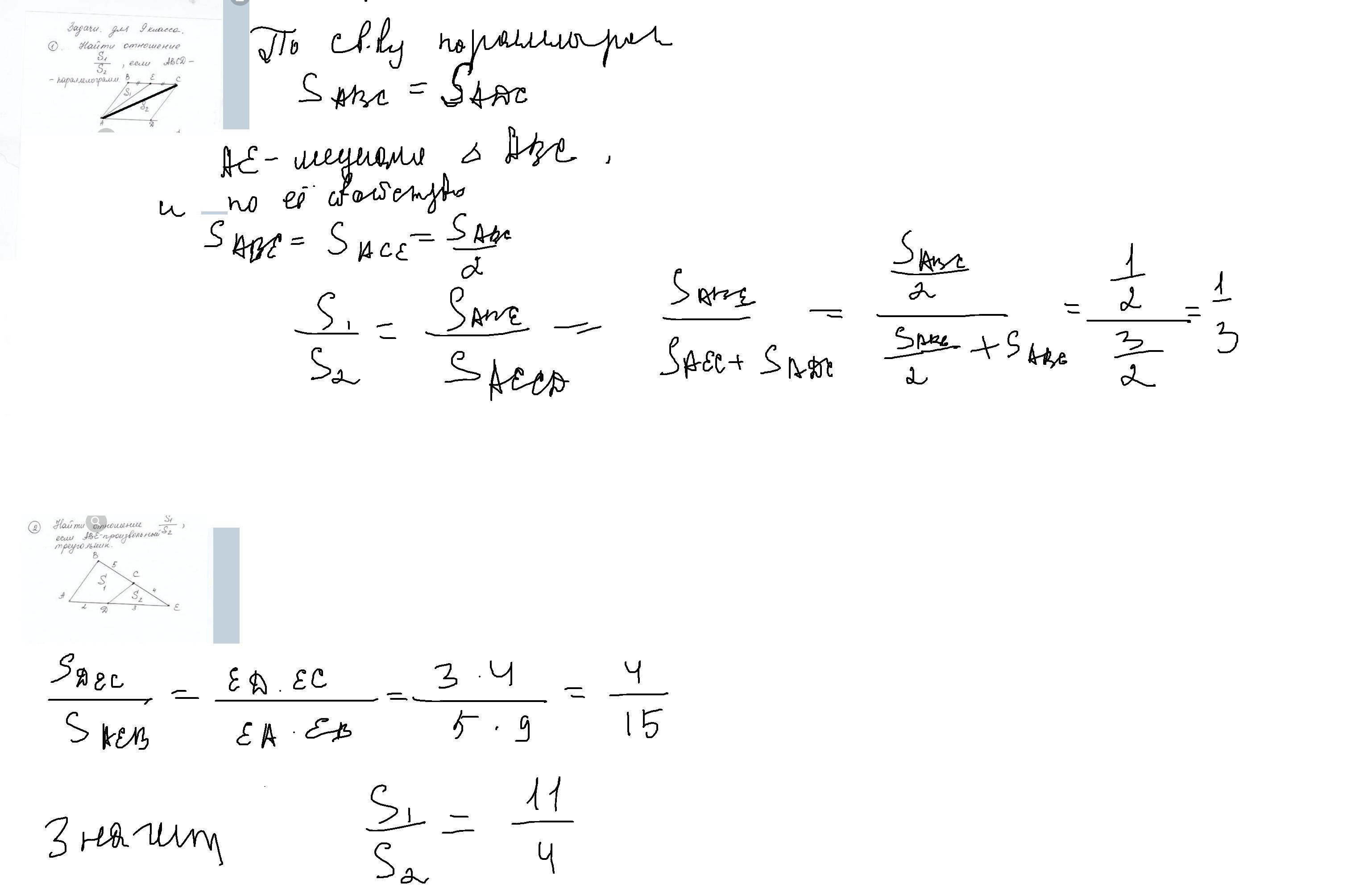
Можно через икс или из 15 частей отнять отнять 4-е будет 11
Вас заинтересует
2 года назад
3 года назад
3 года назад
8 лет назад
9 лет назад
9 лет назад