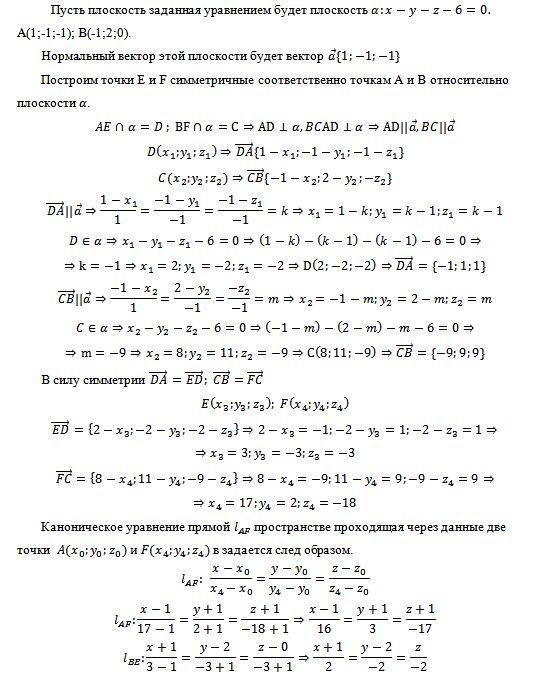
Задані площина х-y-z-6=0 та дві точки А(1;-1;-1) та В(-1;2;0). Промі�ь світла проходить через точку А і відбившись від площини проходить через точку В. Скласти рівняння прямих, які містять падаючий та відбитий промінь.
Ответы
Ответ дал:
0
Ответ:
Пошаговое объяснение:
///////////////////////////////////////
Приложения:


Вас заинтересует
2 года назад
3 года назад
3 года назад
8 лет назад
9 лет назад