• Предмет: Математика
  • Автор: DIMASTAaA
  • Вопрос задан 8 лет назад

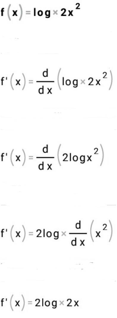
f(x)=㏒2x²

ПОмогите срочно!!!

Ответы

Ответ дал: sindle2877
0

Ответ:

ответ сверху на фото

ошаговое обьяснение

Приложения:
Вас заинтересует