• Предмет: Математика
  • Автор: shurimon0102
  • Вопрос задан 8 лет назад

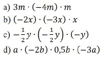
Выполнить умножение одночленов

Приложения:

Ответы

Ответ дал: cooolery
0

Ответ:

Пошаговое объяснение:

a)3m×(-4m)×m= -12m²×m= -12m³

b)(-2x)×(-3x)×x=6x²×x=6x³

c)-1/2y×(-1/2y)×(-y)=1/4y²×(-y)= -1/4y³

d)a×(-2b)×0.5b×(-3a)= -2ab×(-1.5ab)=3ab

Вас заинтересует