• Предмет: Математика
  • Автор: shurimon0102
  • Вопрос задан 8 лет назад

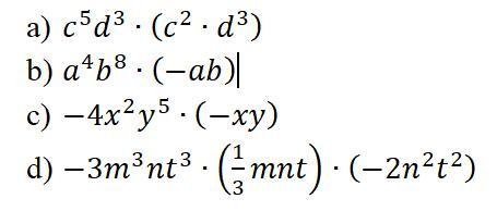
Найти произведение одночленов

Приложения:

Ответы

Ответ дал: romashka4525
0

Ответ:

а) c7d6

b) - a5b9

c) 4xy4

d) 2m4n4t6

Вас заинтересует