2. Представьте многочлен в виде квадрата двучлена:
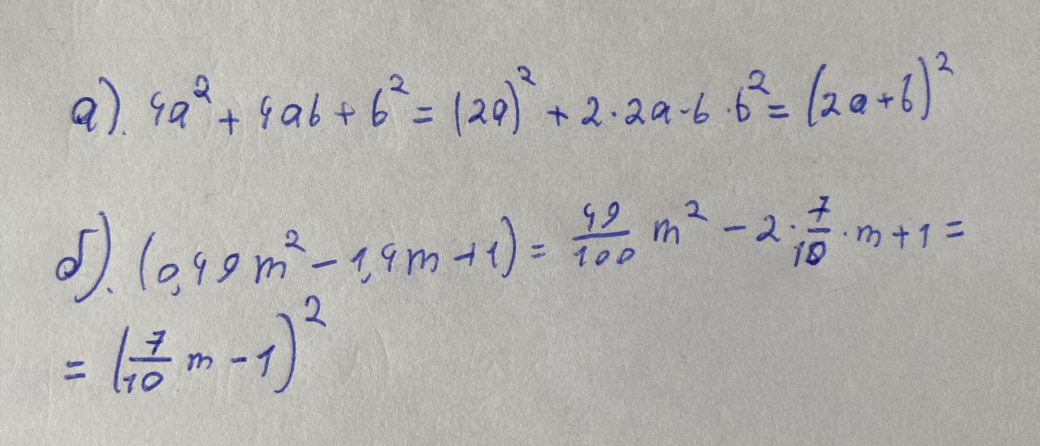
a) 4a2 + 4ab + b2 =
б) (0,49m2 – 1,4m+1) =
Помогите срочно
Ответы
Ответ дал:
0
Ответ: Решение на фото
Приложения:

Вас заинтересует
3 года назад
3 года назад
8 лет назад
9 лет назад
9 лет назад