• Предмет: Математика
  • Автор: HedrogeN
  • Вопрос задан 8 лет назад

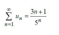
Исследовать на сходимость ряд :

Приложения:

Ответы

Ответ дал: sbulah
0

Ответ:

сходимость есть

Пошаговое объяснение:

Вас заинтересует