• Предмет: Математика
  • Автор: pomogitepojalusta672
  • Вопрос задан 8 лет назад

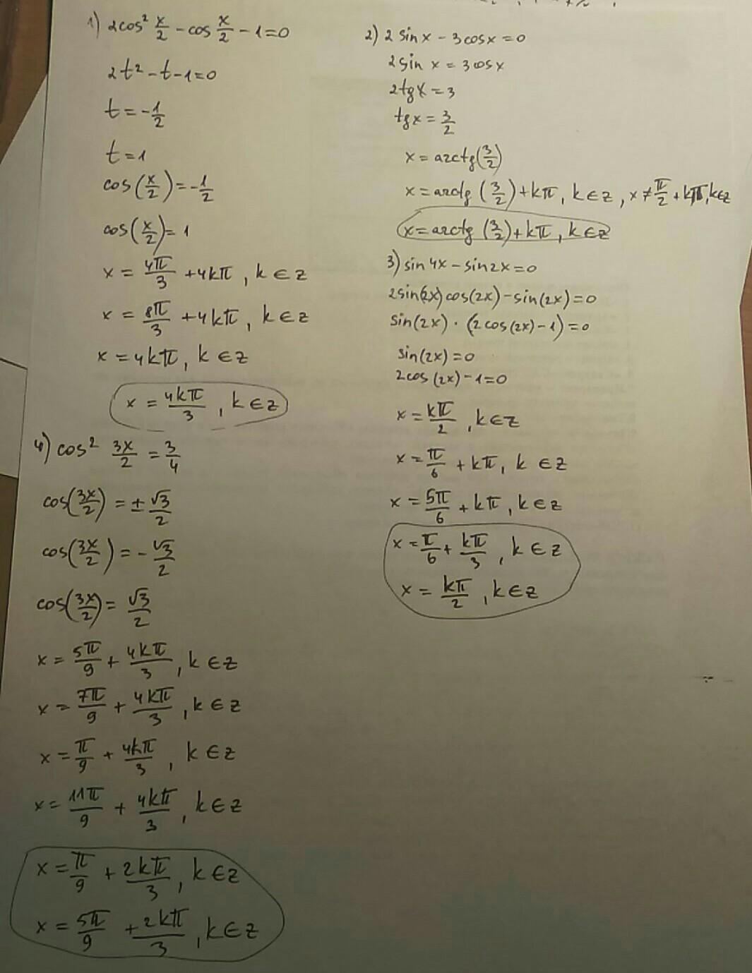
Алгебра 10класс , помогите пожалуйста

Приложения:

Ответы

Ответ дал: kotkoeko
0

Ответ:

===================

Приложения:
Вас заинтересует