Ответы
Ответ дал:
0
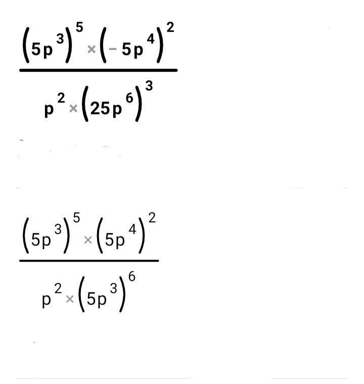
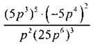
Ответ: 5/8
Объяснение:
Приложения:



Вас заинтересует
2 года назад
3 года назад
8 лет назад
8 лет назад
9 лет назад
9 лет назад