• Предмет: Математика
  • Автор: Bess25Rus
  • Вопрос задан 8 лет назад

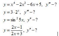
Найти производные функций указанных порядков

Приложения:

Ответы

Ответ дал: sjskshjkvshsj
0

Ответ:

Пошаговое объяснение:

Приложения:
Вас заинтересует