• Предмет: Математика
  • Автор: iuriimode
  • Вопрос задан 8 лет назад

Пожалуйста помогите решить задания.
1. Найти полный дифференциал функции двух
переменных.
2. Исследовать функцию двух переменных на экстремум.

Приложения:

Ответы

Ответ дал: Vasily1975
0

Ответ: 1) dz=e^(x/y)*dx/y-x*e^(x/y)*dy/y²; 2) функция имеет максимум в точке M(2/3; 1/3).

Пошаговое объяснение:

1) z=e^(x/y)

Находим частные производные:

dz/dx=1/y*e^(x/y), dz/dy=-x/y²*e^(x/y).

Полный дифференциал dz=dz/dx*dx+dz/dy*dy=e^(x/y)*dx/y-x*e^(x/y)*dy/y²

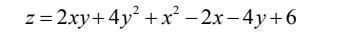
2) Находим первые частные производные:

dz/dx=2*y+2*x-2; dz/dy=2*x+8*y-4.

Приравнивая их к нулю, получаем систему уравнений:

x+y-1=0

x+4*y-2=0

Решая её, находим x=2/3, y=1/3 - координаты единственной критической точки М(2/3; 1/3).

Находим вторые частные производные:

d²z/dx²=2; d²z/dxdy=2; d²z/dy²=8. Так как они суть постоянные числа, то и в критической точке они будут иметь те же значения:

A=d²z/dx²(M)=2; B=d²z/dxdy(M)=2; C=d²z/dy²(M)=8.

Так как выражение A*C-B²=2*8-4=12>0, то есть положительно, то в точке М функция действительно имеет экстремум. А так как при этом A=2>0, то этот экстремум является максимумом.

Ответ дал: iuriimode
0
Спасибо большое)
Вас заинтересует