• Предмет: Математика
  • Автор: sukhachevayljana
  • Вопрос задан 8 лет назад

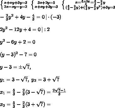
left { {{x+xy+3y=3} atop {2x-xy-y=-2}} right.

Ответы

Ответ дал: Vlad200731
0

Ответ:

Пошаговое объяснение:

Приложения:
Вас заинтересует