• Предмет: Математика
  • Автор: miraidakaparova6
  • Вопрос задан 8 лет назад

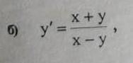
ПОМОГИТЕ пожалуйста решить​

Приложения:

Ответы

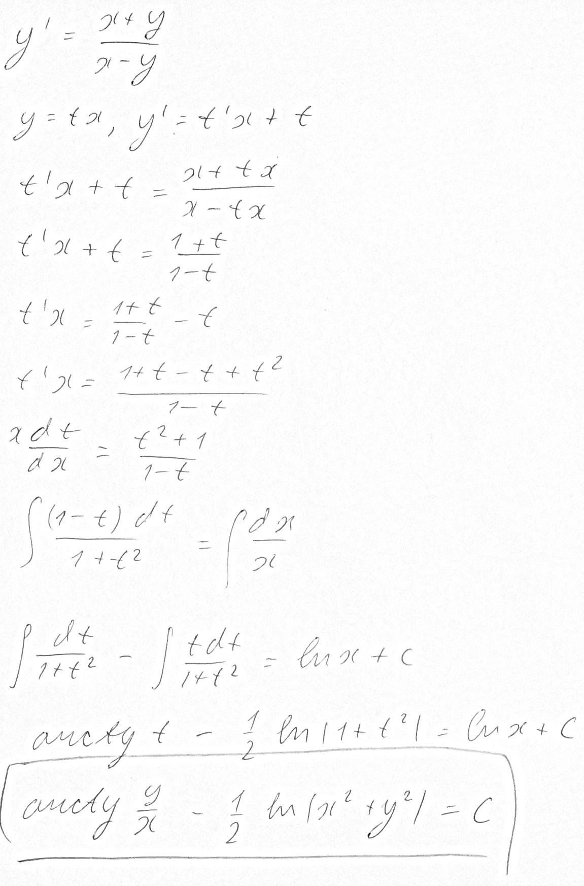
Ответ дал: abiltarova0622
0

Ответ:

Пошаговое объяснение:

Приложения:
Вас заинтересует