Ответы
Ответ дал:
0
Ответ:
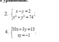
1 уровнение с права
2 с лева
Приложения:

Вас заинтересует
2 года назад
2 года назад
3 года назад
3 года назад
8 лет назад
8 лет назад