• Предмет: Алгебра
  • Автор: egoranushkevich2004
  • Вопрос задан 8 лет назад

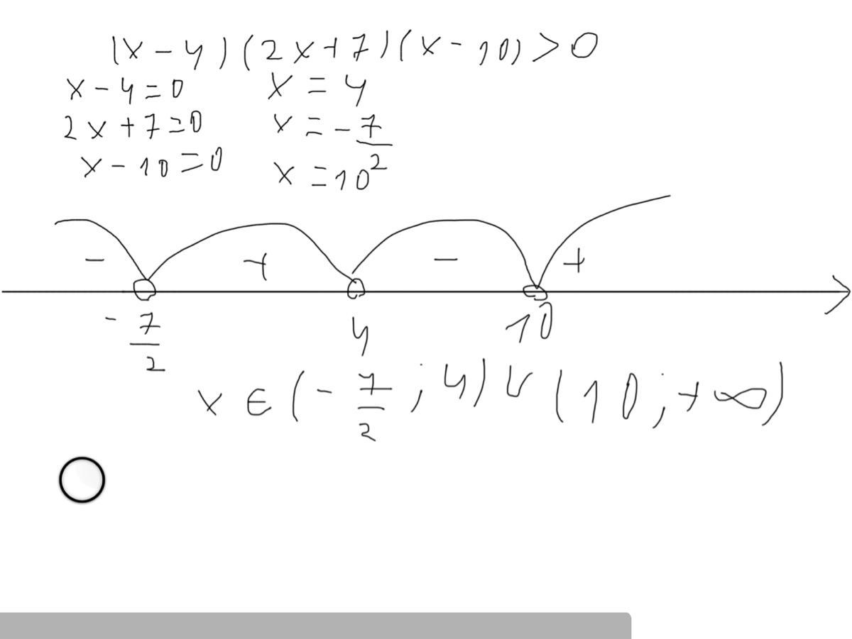
решите неравенства (x-4)(2x+7)(x-10) больше 0, методом интервалов​

Ответы

Ответ дал: mikolaenkoegor
0
Решение расписал на листочке
Приложения:
Вас заинтересует