• Предмет: Алгебра
  • Автор: m4ksonklakson1488
  • Вопрос задан 8 лет назад

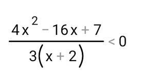
решить пример..............................

Приложения:

Ответы

Ответ дал: ignatovaksenia330
0

Ответ:

вроде все подробно рассписала

Приложения:
Вас заинтересует