Ответы
Ответ дал:
0
Смотри.........................
Приложения:

Ответ дал:
0
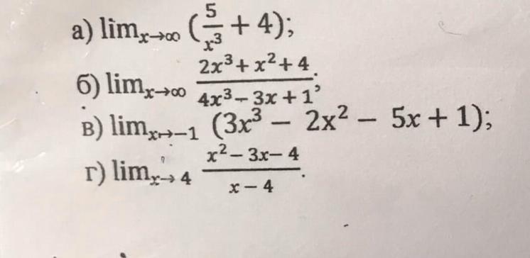
в1) не так.5/х3 стремится к 0,тогда ответ 0+4=4
Вас заинтересует
2 года назад
2 года назад
3 года назад
3 года назад
8 лет назад
8 лет назад
9 лет назад