• Предмет: Химия
  • Автор: andrew7045
  • Вопрос задан 8 лет назад

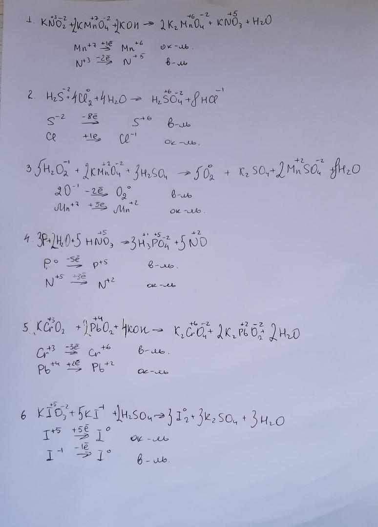
хімія будь ласка срочно!!​ електронний баланс

Приложения:

Ответы

Ответ дал: cat00n
0

Ответ:

Ответ во вложении

Объяснение:

Приложения:
Вас заинтересует