• Предмет: Математика
  • Автор: alex2234675
  • Вопрос задан 8 лет назад

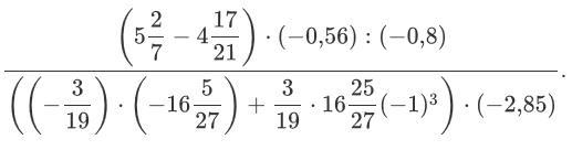
Решите- даю много баллов!!!

Приложения:

Ответы

Ответ дал: tatsach
0

Ответ:

Пошаговое объяснение:

Приложения:
Вас заинтересует