• Предмет: Математика
  • Автор: zulagazizova28
  • Вопрос задан 8 лет назад

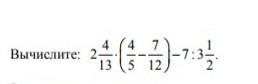
помогите пожалуйста срочно нужна​

Приложения:

Ответы

Ответ дал: danilasahmanov8
0

Пошаговое объяснение:

30/13 ( 48/60-35/60) -7 × 2/7

30/13 × 12/60 - 14/7

1/13 × 12/2 - 2

1/2 - 2= -1,5

Вас заинтересует