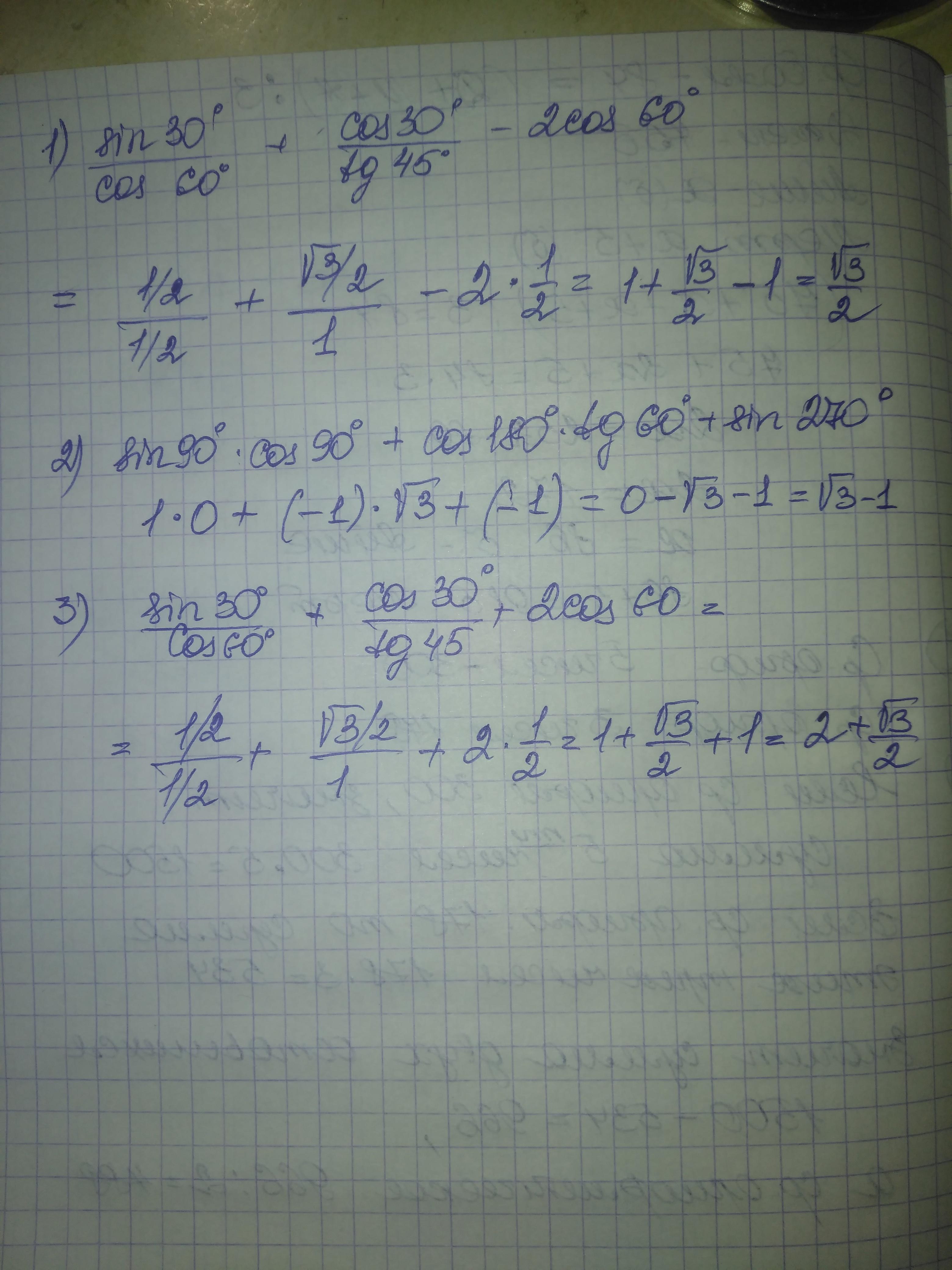
1) sin 30° ( разделить на ) cos 60° + cos30° ( разделить на ) tan 45° - 2cos60°
2) sin 90°· cos 90° + cos180° · tan60° + sin270°
3) sin30° ( разделить на ) cos60° + cos 30° ( разделить на ) tan 45° + 2cos60°
Ответы
Ответ дал:
0
Смотри................
Приложения:

Вас заинтересует
2 года назад
3 года назад
3 года назад
8 лет назад
8 лет назад
9 лет назад