1.(у-4)(у+9) -(у-6)(у+6)
2.(9-у)2-(5+у)(у-5)
3. 3х(х-8)- 3(х+4)(х-4)
4. (7+х)(х-7)-(3х+1)2
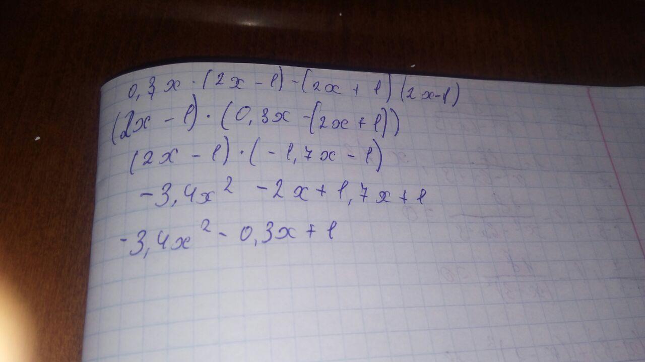
5.3х(2х-1)- (2х+1)(2х-1)
во 2 двойка это квадрат
Ответы
Ответ дал:
0
Ответ:
На фото
Объяснение:
Приложения:


Вас заинтересует
2 года назад
3 года назад
3 года назад
8 лет назад
9 лет назад