• Предмет: Алгебра
  • Автор: moyiecvest
  • Вопрос задан 8 лет назад

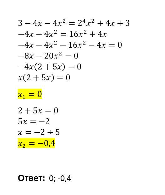
3 - 4x - 4x^2 = 2^4x^2 +4x +3
Решите пж срочно​

Ответы

Ответ дал: gwar92978
0

Ответ:

x1=-0,4; x2=0

Объяснение:1) -4x-4x^2-16x^2-4x

2)-8x-20x^2=0

3) x*(2+5x)=0

Решить ур-е

Ответ дал: gwar92978
0
нуууу это правильный ответ
Ответ дал: gwar92978
0
дааа
Ответ дал: gwar92978
0
я на калькуляторе решал
Ответ дал: moyiecvest
0
ладно забей, но я говори там в степени двой 4х^2+4х +3
Ответ дал: sebrithien
0

Решение в приложении

Приложения:
Ответ дал: moyiecvest
0
но у 2 степень не 4, а 4х^2 +4х+3
Вас заинтересует