• Предмет: Математика
  • Автор: rom7kitom49
  • Вопрос задан 8 лет назад

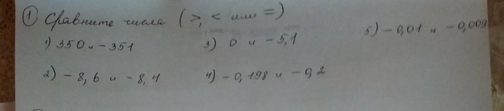
сравните пожалуйста​

Приложения:

Ответы

Ответ дал: bsssbb27
0

Ответ:

1)350> -351

2)-8,6<-8,4

3)0> -5,1

4)-0,198>0,2

5)-0,01< -0,009

Пошаговое объяснение:

Вроде так

Вас заинтересует