• Предмет: Химия
  • Автор: Gguuiiii
  • Вопрос задан 8 лет назад

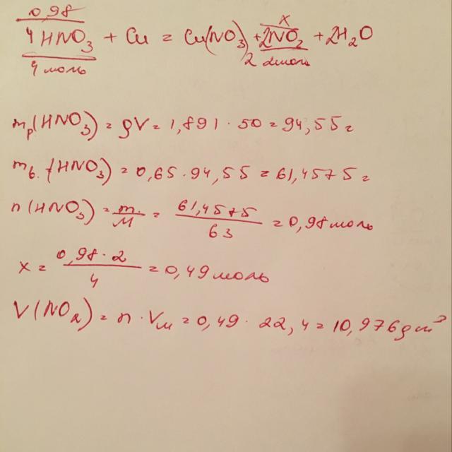
В раствор азотной кислоты объемом 50 мл (р= 1,891 г/мл) с массовой долей кислоты 65% погрузили кусочек меди.  Какой объем азота (IV) оксида выделится в результате реакции?

Ответы

Ответ дал: sasha280705
0
)))))))))))))))))))))))))))))))
Приложения:
Вас заинтересует