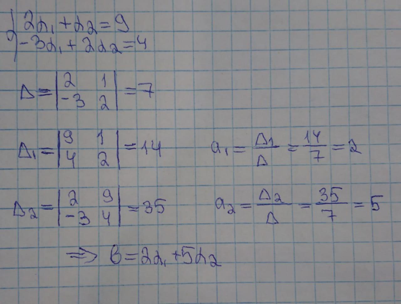
Найти в базисе ¬p = 2i - 3j, ¬q = i + 2j линейного пространства V² (линейного пространства свободных векторов плоскости) координаты вектора ¬а = 9i + 4j
Ответы
Ответ дал:
0
Ответ: в = 2α₁ + 5α₂
Объяснение: в вложение
Приложения:

Вас заинтересует
2 года назад
2 года назад
3 года назад
3 года назад
8 лет назад
8 лет назад