Ответы
Ответ дал:
0
ОТВЕТ ВО ВЛОЖЕНИИИИИИии
Приложения:

Ответ дал:
0
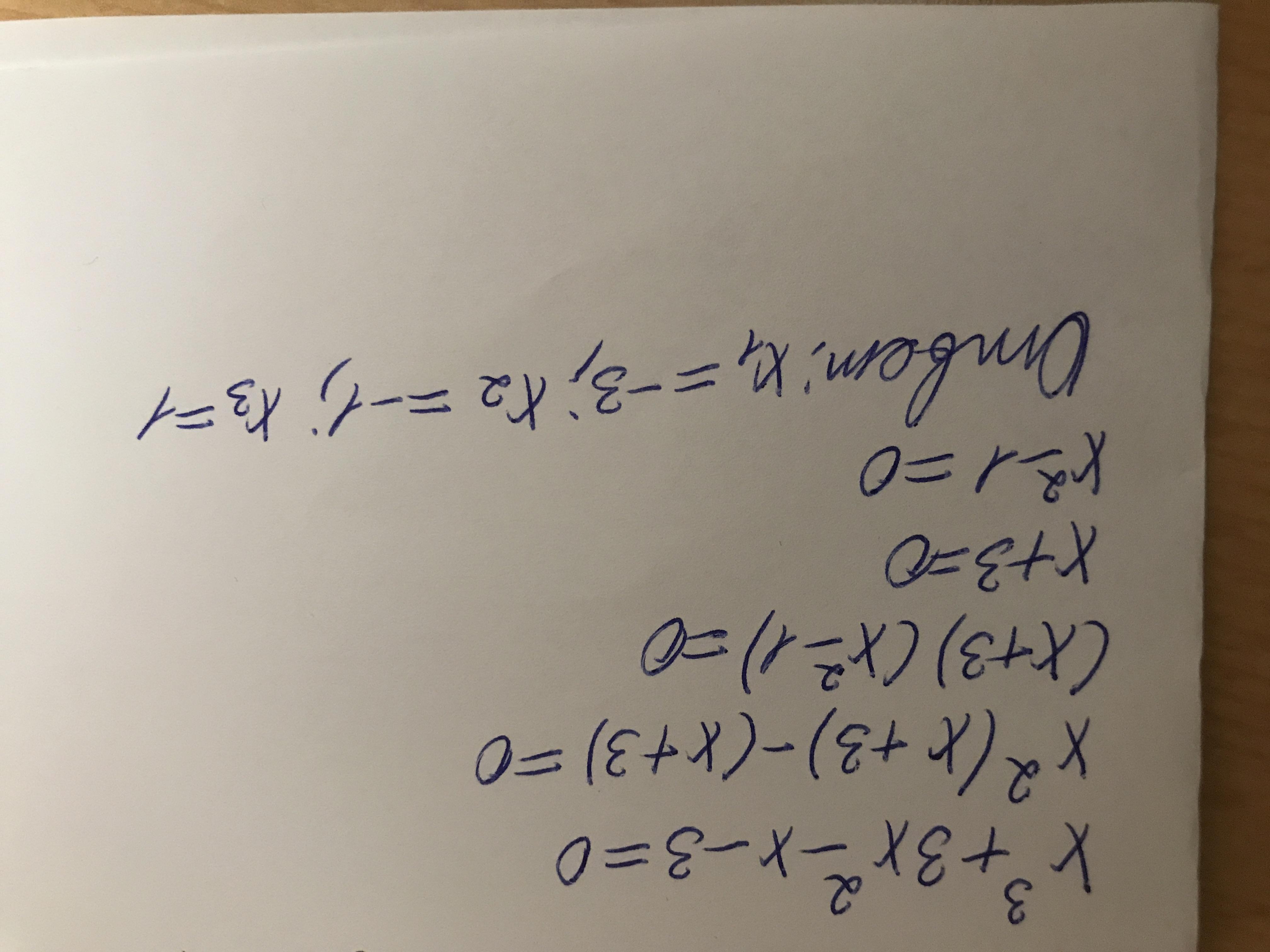
Решение в приложении
Приложения:

Вас заинтересует
3 года назад
3 года назад
8 лет назад