1.расставьте коэффициенты методом электронного баланса KCLO3 + HCL -> CL2 + KCL+H2O
Сумма коэффициентов в уравнении равна а)12 б)9 в)14 г)15
2. электронная схема атома химического элемента 2е 8е 2е. определить его положение в периодической системе элементов, напишете формулы высшего оксида и гидроксида, назовите их и укажите свойства
3. вода как окислитель при обычных условиях реагирует с а) cao б) ca в)h2so4 г)co
Напишите уравнение соответствующей реакции, составте схему электронного баланса.
4. вычислите массу 3,36 л хлороводорода (н.у.) и его относительную плотность по воздуху.
5. составте сокращенное ионно-молекулярное уравнение взаимодействия H2SO4 с AL(OH)3. число ионов в уравнение равно: а)4 б)8 в)6 г)7
Ответы
Ответ дал:
0
1) в
2) магний. оксид магния MgO, гидроксид магния 2 Mg(OH)2, основные свойства.
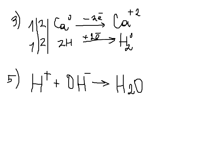
3) б Ca+2H2O=Ca(OH)2+H2
4)m=0,15*36,5=5,475 г
Д=36,5/29=1,25862
5) не знаю,какой ответ. но ионное уравнение я составила
2) магний. оксид магния MgO, гидроксид магния 2 Mg(OH)2, основные свойства.
3) б Ca+2H2O=Ca(OH)2+H2
4)m=0,15*36,5=5,475 г
Д=36,5/29=1,25862
5) не знаю,какой ответ. но ионное уравнение я составила
Приложения:
Вас заинтересует
3 года назад
3 года назад
8 лет назад
8 лет назад
11 лет назад
11 лет назад
11 лет назад