Ответы
Ответ дал:
0
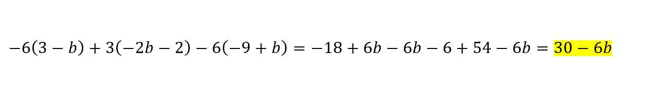
Ответ:
39 - 6b
Пошаговое объяснение:
−6 * (3 − b) + 3 * (−2b − 2) − 6 * (−9 + b) = -6 * 3 - 6 * (-b) + 3 * (-2b) + 3 * (-2) - 6 * (-9) - 6 * b = -18 + 6b - 6b - 6 + 63 - 6b = -18 - 6 + 63 + 6b - 6b - 6b = 39 - 6b
Ответ дал:
0
Решение в приложении
Приложения:

Вас заинтересует
2 года назад
2 года назад
3 года назад
3 года назад
8 лет назад
9 лет назад
9 лет назад