• Предмет: Математика
  • Автор: Ghbhi80p
  • Вопрос задан 8 лет назад

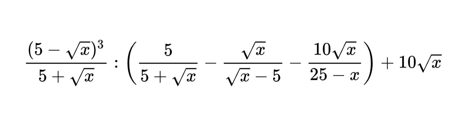
Упростите выражение и найдите его значение при x=11

Приложения:

Ответы

Ответ дал: nikp99
0
......................
Приложения:
Вас заинтересует