• Предмет: Математика
  • Автор: kirillkirdan178
  • Вопрос задан 8 лет назад

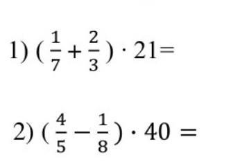
памогите решить срочно пж даю 15 балов​

Приложения:

Ответы

Ответ дал: tatsach
0

Ответ:

Пошаговое объяснение:

Приложения:
Вас заинтересует