• Предмет: Алгебра
  • Автор: dasas2d
  • Вопрос задан 8 лет назад

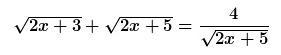
Прошу решите уравнение

Приложения:

Ответы

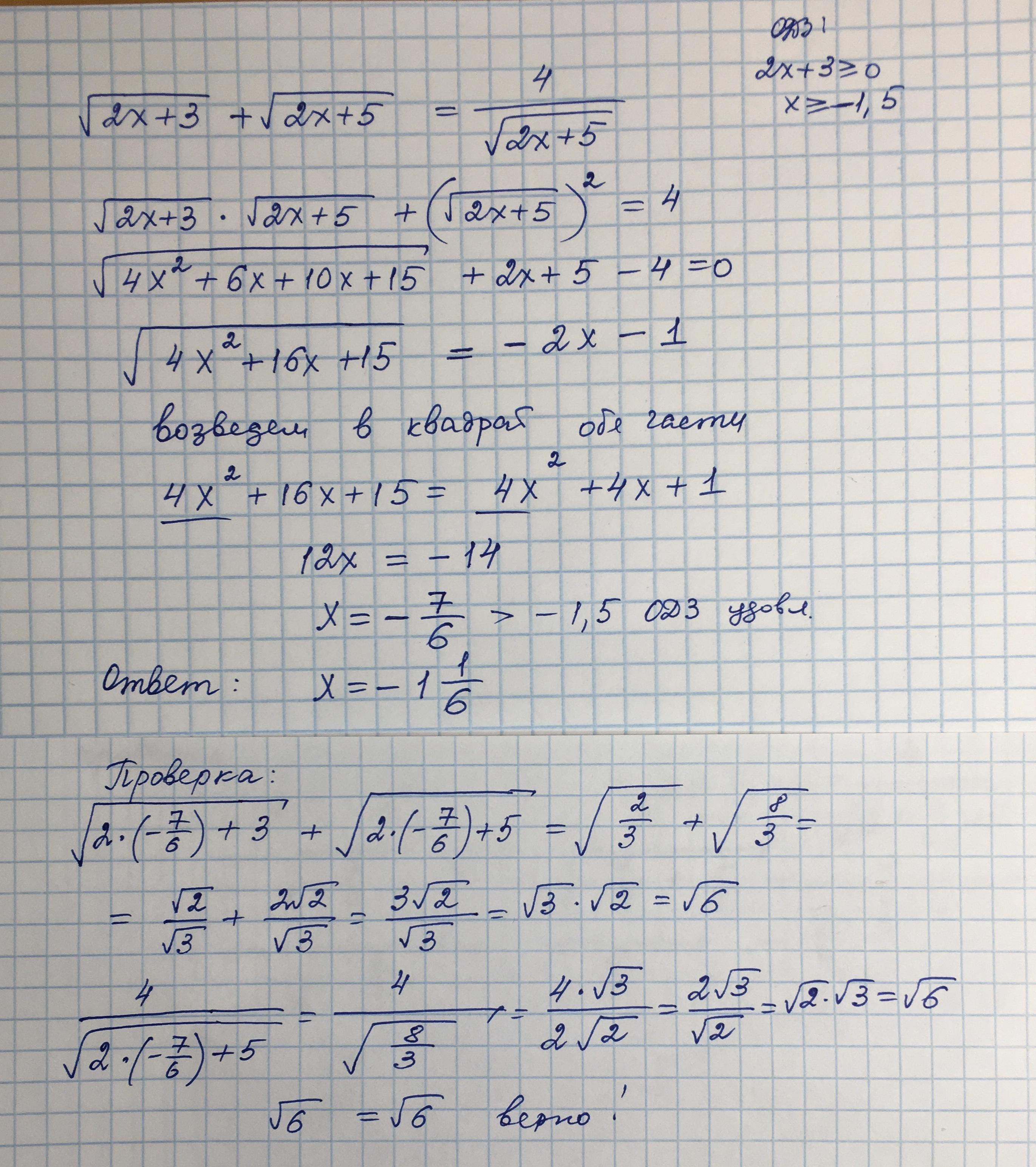
Ответ дал: ВладимирБ
0

Ответ:

Объяснение:

...........................,

Приложения:
Вас заинтересует