Ответы
Ответ дал:
0
Ответ:
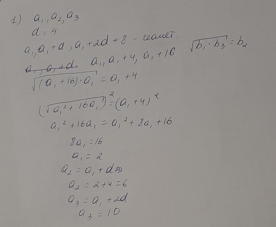
надеюсь всё понятно....
Приложения:

Вас заинтересует
2 года назад
8 лет назад
8 лет назад