Ответы
Ответ дал:
0
Пошаговое объяснение:
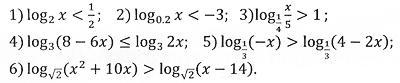
Ответ во вложении) Удачки...
Приложения:


Вас заинтересует
2 года назад
2 года назад
3 года назад
3 года назад
8 лет назад
8 лет назад
9 лет назад