• Предмет: Математика
  • Автор: tigrionok77781
  • Вопрос задан 8 лет назад

Срочно!!!!
Помогите с 3 или 4❤

Приложения:

Ответы

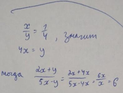
Ответ дал: gadckowartyom
0

Ответ:

№4 Ответ 6

Пошаговое объяснение:

Решени на фото.

Приложения:
Ответ дал: tigrionok77781
0
Фотография не прикрепилась
Вас заинтересует